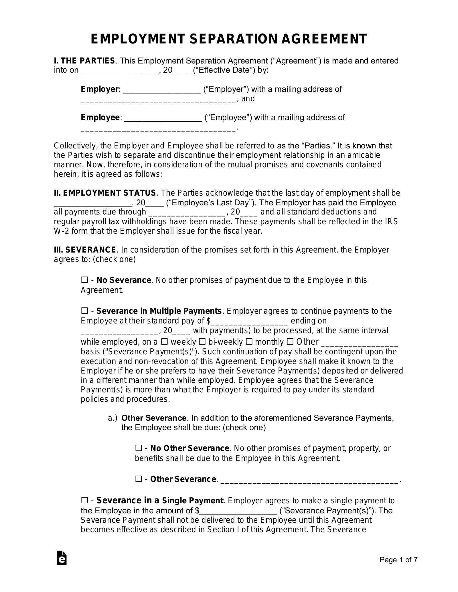
Navigating the complexities of employee transitions requires more than just a handshake and a pat on the back. For both employers and employees, a well-structured and thoughtfully prepared document is essential for a smooth, professional, and legally sound separation. This is precisely where a well-crafted voluntary employment separation agreement template becomes an indispensable tool, ensuring clarity, protecting interests, and fostering a sense of mutual respect, even when parting ways.
In the fast-paced world of modern business, efficiency and precision are paramount. Professionals who prioritize productivity and smart communication understand the value of having robust, ready-to-use documents at their fingertips. A voluntary employment separation agreement template isn’t just about formality; it’s about providing a clear roadmap for a pivotal moment, outlining rights, responsibilities, and the agreed-upon terms, minimizing confusion and potential disputes down the line.
The Importance of Organized Planning and Professional Documentation
In any business endeavor, organized planning and meticulous documentation serve as the bedrock of trust and operational integrity. Whether you’re a small startup or a large corporation, having a clear, professionally prepared legal contract for significant events, such as an employee’s voluntary departure, is not merely good practice—it’s essential risk management. These documents provide clarity, reduce ambiguity, and serve as a compliance record for all parties involved.

Professional documentation establishes a shared understanding, leaving little room for misinterpretation. It’s about building and maintaining trust, ensuring that commitments are honored and expectations are managed transparently. A well-prepared business documentation package, including specific agreements like this one, safeguards both the individual and the organization against future misunderstandings or legal challenges, cementing the professionalism of the separation process.
Key Benefits of Using Structured Templates and Agreement Layouts
Embracing structured templates, forms, or agreement layouts offers a multitude of benefits that resonate with the principles of productivity and smart business communication. Firstly, they introduce efficiency by providing a standardized format, eliminating the need to create a document from scratch every single time. This consistency saves invaluable time and resources, allowing teams to focus on core business objectives rather than reinventing the wheel.
Secondly, a well-designed contract template significantly reduces the likelihood of errors or omissions. Important clauses, legal boilerplate, and necessary disclosures are pre-populated, ensuring that critical information isn’t overlooked. This systematic approach contributes to a higher quality of professional layout, reflecting positively on your organization’s attention to detail and commitment to clear communication, whether it’s a service agreement or a business partnership.
How This Template Can Be Adapted for Various Purposes
While its primary utility is clear from its name, the underlying principles of a voluntary employment separation agreement template are remarkably versatile and adaptable. The core structure—outlining terms, responsibilities, compensation, and releases—can be modified to suit a wide array of professional and personal agreements. It’s a foundational model for any situation requiring clear, documented understanding between parties.
Consider adapting the layout for various business contracts: a freelance service agreement outlining project deliverables and payment terms, or a business partnership memorandum of understanding establishing initial roles and expectations. It can be modified for service providers, detailing the scope of work and liability waivers, or even simplified for rental agreements. The key is to understand the framework of defining terms, securing mutual consent, and documenting it professionally, leveraging the power of a robust contract template.
Examples of When Using a Voluntary Employment Separation Agreement Template Is Most Effective
A voluntary employment separation agreement template proves its worth in specific scenarios where a clear, documented, and mutually agreed-upon exit strategy is beneficial for all involved. Its careful construction ensures that every aspect of the separation is addressed, preventing future complications.
Here are some key instances where using a comprehensive voluntary employment separation agreement template is highly effective:
- Employee-Initiated Resignation with Special Circumstances: When an employee resigns but there are specific considerations, such as a negotiated severance package, accelerated equity vesting, or extended benefits, this document ensures all terms are clearly laid out and legally binding.
- Mutual Agreement to Part Ways: Sometimes, a separation is not a dismissal but a mutual understanding that an employee’s role no longer aligns with the company’s direction or the employee’s career goals. The contract facilitates an amicable and professional parting.
- Voluntary Retirement Programs: For organizations offering early retirement incentives or other voluntary separation programs, the template provides a standardized form for employees to opt-in, detailing all benefits, waivers, and conditions.
- Reaffirming Confidentiality and Non-Compete Agreements: During a voluntary departure, it’s often crucial to reiterate or update existing confidentiality agreements, non-solicitation clauses, or non-compete terms. The business file ensures these remain legally enforceable.
- Settlement of Potential Claims: If there’s any potential for a dispute or claim, even if unstated, the agreement can include a general release of claims, providing peace of mind for both parties against future litigation.
- Transition of Projects or Responsibilities: The record can detail specific requirements for the orderly handover of projects, access to systems, and the return of company property, ensuring minimal disruption to business operations.
Tips for Better Design, Formatting, and Usability
Creating a truly effective voluntary employment separation agreement template goes beyond just legal content; it involves thoughtful design, formatting, and a focus on usability. A well-designed document is easier to read, understand, and complete, whether in print or digital format. This attention to detail reflects a high standard of business communication.
For optimal usability, prioritize clarity and readability. Use clear, concise language, avoiding excessive jargon where possible. Employ appropriate font sizes and styles, ensuring good contrast and legibility. Ample white space around text and between sections improves comprehension and reduces reader fatigue. Use headings and subheadings (like <h3> if needed for further breakdown within a section) to logically organize content, making it easy for users to navigate and locate specific information.
For digital versions, consider implementing fillable fields for easy data entry and incorporating features for electronic document signing. This streamlines the process, enhances efficiency, and provides a clear audit trail, aligning with modern business practices. Ensure the template is responsive and accessible across different devices. For print, include clear signature blocks, date fields, and potentially spaces for witness signatures. Always maintain brand consistency by incorporating your company’s logo and branding elements, reinforcing professionalism throughout the entire record. Version control is also crucial; clearly label templates with version numbers and dates to ensure you are always using the most current and legally sound iteration of the form.
In summary, a well-designed template is a powerful tool for clarity and efficiency. It’s a testament to professional layout and an understanding that even critical legal documents should be user-friendly.
The Practical Value of a Professional Communication Tool
In the complex landscape of professional relationships, the ability to communicate clearly, concisely, and legally is a cornerstone of success. A voluntary employment separation agreement template stands as a prime example of a practical, time-saving, and legally clear communication tool. It streamlines a potentially awkward or contentious process, transforming it into an organized and respectful transition for everyone involved.
By investing in a robust voluntary employment separation agreement template, businesses and individuals alike benefit from reduced administrative burden, minimized legal risk, and enhanced professional integrity. It’s more than just a piece of paper; it’s a strategic asset that underscores a commitment to fairness, clarity, and effective documentation, solidifying your reputation for smart business communication. Ultimately, having this type of structured document readily available empowers you to navigate important transitions with confidence and professionalism, ensuring a positive legacy for all parties.


