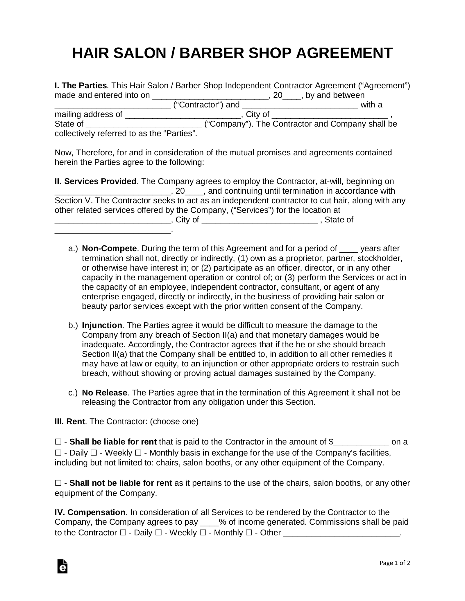
In the bustling world of professional services, clarity and understanding are the cornerstones of successful relationships. Whether you’re a seasoned salon owner, a newly independent stylist, or managing a growing team of barbers, having a clear, written understanding of expectations is absolutely non-negotiable. This is where a well-crafted barber contract agreement truly shines. It’s not just a formality; it’s a foundational tool that protects everyone involved, fostering an environment of trust, professionalism, and mutual respect from day one.
Think of this essential document not as a barrier, but as a bridge. It connects the aspirations of a business with the responsibilities of its professionals, ensuring everyone is on the same page regarding roles, compensation, policies, and much more. For US readers who value efficiency, organization, and smart business communication, understanding the nuances and benefits of such an agreement can drastically streamline operations and prevent common misunderstandings that often plague less organized ventures.
The Power of Professional Documentation: Clarity, Legality, and Trust
When it comes to running any business, especially one involving skilled professionals like barbers, clear communication is paramount. Professional documentation, like a detailed service agreement or a comprehensive employment contract, eliminates ambiguity and sets precise expectations. This clarity is vital for productivity, as team members know exactly what is expected of them, allowing them to focus on their craft rather than navigating uncertainty.

Beyond internal communication, proper documentation plays a crucial role in legal compliance and risk mitigation. A legally sound document acts as a compliance record, detailing terms and conditions that adhere to employment laws, state regulations, and industry standards. Should a dispute arise, having a signed, comprehensive agreement provides an undeniable reference point, protecting both the employer and the employee from potential legal headaches and costly litigation. This foresight builds immense trust within the organization and with external partners.
Ultimately, well-structured documents build trust by demonstrating professionalism and transparency. When an employer presents a clear, fair, and comprehensive document, it shows respect for the individual entering the agreement. It signals a commitment to ethical practices and a stable working environment, which in turn attracts and retains top talent who appreciate a well-organized and transparent operation.
Unlocking Efficiency: Benefits of Structured Templates and Forms
The thought of drafting a legal contract from scratch can be daunting, but that’s precisely where structured templates and pre-designed forms prove invaluable. Utilizing a contract template saves an immense amount of time and effort that would otherwise be spent reinventing the wheel. These templates often come pre-populated with standard clauses and sections, ensuring that critical areas are not overlooked.
Consistency is another major benefit derived from using a standardized layout. When every professional in your establishment signs the same core document, it ensures that policies and expectations are uniformly applied across the board. This prevents favoritism claims and guarantees fairness, contributing to a more harmonious and predictable work environment. Furthermore, a professional layout enhances readability and comprehension for all parties involved.
Structured forms also significantly reduce the likelihood of errors and omissions. By guiding users through necessary fields and sections, they act as checklists, making sure all essential information is captured. This level of detail in a business file can be incredibly important for future reference, whether for HR purposes, legal review, or performance discussions. The ease of document signing is also enhanced when the form is clearly organized, often integrating smoothly with digital signature platforms for added convenience.
Beyond the Chair: Adapting This Agreement for Diverse Professional Needs
While the focus here is on a barber contract agreement, the principles and structure behind such a document are remarkably versatile. The core elements of establishing clear roles, outlining compensation, setting expectations, and detailing terms of service can be adapted for a wide array of professional relationships. This underlying methodology transforms a specific business file into a universal tool for effective communication.
Consider its application beyond the barbershop. For independent contractors in any field, a robust service agreement defines the scope of work, payment terms, intellectual property rights, and termination clauses. In a business partnership, a detailed memorandum of understanding can lay out responsibilities, profit-sharing, and decision-making processes well before any official company registration. This foundational approach can serve as an invaluable legal contract.
Even for broader service providers or those managing rental agreements, the structure of a comprehensive agreement remains similar. It involves clearly identifying parties, defining the services or assets being exchanged, establishing financial arrangements, and outlining dispute resolution mechanisms. By understanding the components of this agreement, you gain a powerful framework for organizing any professional interaction, ensuring clarity and mutual understanding.
When a Barber Contract Agreement Makes All the Difference
Implementing a detailed barber contract agreement is not just good practice; it’s often essential for a smooth and sustainable business operation. Here are several scenarios where having such a document becomes particularly effective and beneficial:
- Onboarding New Employees or Independent Contractors: Clearly outlining job descriptions, compensation structures (hourly, commission, booth rent), benefits, and performance expectations from day one prevents future misunderstandings and sets a professional tone.
- Defining Booth Rental Agreements: For barbers operating as independent contractors within a salon, this form specifies rental fees, utilities included, usage hours, responsibilities for cleaning and maintenance, and salon policies.
- Establishing Service Standards and Client Relations: The document can incorporate clauses related to client privacy, service guarantees, no-show policies, and professional conduct, ensuring a consistent brand experience.
- Protecting Intellectual Property and Confidential Information: If your salon has unique training programs, client lists, or marketing strategies, the contract can include non-disclosure or non-compete clauses to safeguard your business assets.
- Addressing Termination and Resignation Procedures: Clear guidelines on notice periods, return of company property, and final paychecks ensure a smooth transition for both parties if the professional relationship ends.
- Outlining Professional Development and Training: For employees, the document can detail opportunities for ongoing education, who bears the cost, and expectations for participation in such programs.
- Managing Team Roles in a Partnership: If multiple barbers co-own a business, a partnership agreement built on these principles defines ownership stakes, management duties, profit distribution, and conflict resolution.
Each of these bullet points highlights a critical area where a precise, written record avoids ambiguity and strengthens the professional bond. The layout ensures that every critical detail is systematically addressed, providing peace of mind for all parties.
Crafting the Perfect Document: Design, Formatting, and Usability Tips
A great agreement isn’t just about the legal language; its design and formatting significantly impact its usability and effectiveness. When you’re creating or customizing your business file, prioritize readability and clarity above all else. Use clear headings and subheadings to break up large blocks of text, making the document easy to navigate. Short, concise paragraphs are also vital, ensuring that complex information is digestible and doesn’t overwhelm the reader.
Think about the visual professional layout. Ample white space around text and between sections improves readability and gives the eye a place to rest. Consider using bullet points or numbered lists for complex clauses or lists of responsibilities, just like we did above, as this format is much easier to scan and understand than dense paragraphs. Using a consistent, professional font (like Arial, Calibri, or Times New Roman) and a legible font size (10-12 points) is also crucial for both print and digital versions of the record.
For digital versions, consider creating interactive forms where possible. Fillable PDF fields can streamline the document signing process, making it quicker and less prone to errors. Ensure the contract is easily accessible and shareable, perhaps through a secure cloud platform, and always maintain clear version control. For printed copies, use high-quality paper and ensure all pages are securely bound and legible. Remember, whether digital or physical, the goal is to make the contract as user-friendly and unambiguous as possible.
Empowering Your Business with Clear Communication
In the fast-paced world of professional services, neglecting the power of clear, written agreements can lead to unnecessary complications and lost productivity. Adopting a structured approach to your business documentation, whether for employment, partnerships, or service provision, isn’t just about legal protection—it’s about smart, proactive management. This commitment to transparency and professionalism not only minimizes risks but also cultivates a more harmonious and efficient work environment where everyone thrives.
By leveraging a well-designed template or adapting a robust contract framework, you’re investing in the future stability and success of your venture. The time saved in avoiding disputes, the clarity gained in defining roles, and the trust built through transparent communication far outweigh the initial effort of setting up such a system. Ultimately, the diligent use of these essential forms transforms potential ambiguity into actionable understanding, fostering stronger professional relationships and a more organized business.
So, take the initiative to implement comprehensive agreements within your operations. Empower yourself and your team with the peace of mind that comes from clearly defined expectations and responsibilities. It’s a practical step towards a more professional, productive, and ultimately more successful business journey, ensuring everyone involved is confident, secure, and ready to focus on delivering exceptional service.


