Securing a scholarship can be a pivotal moment in an applicant’s academic and professional journey, often representing the difference between pursuing higher education and facing insurmountable financial barriers. Beyond academic transcripts and personal essays, a compelling letter of recommendation from a respected source plays an indispensable role in strengthening an applicant’s case. It offers a personalized, third-party validation of their character, capabilities, and potential. In this critical context, a robust scholarship recommendation letter template serves as an invaluable resource, guiding recommenders through the process of articulating a strong, persuasive endorsement.
This comprehensive guide is designed for educators, mentors, employers, and anyone tasked with writing a recommendation letter, offering a structured approach to producing impactful correspondence. It aims to demystify the process, ensuring that every recommendation letter is not only professionally presented but also strategically tailored to highlight the applicant’s most relevant attributes. By leveraging a well-defined framework, recommenders can craft documents that resonate with scholarship committees, significantly enhancing an applicant’s chances of success.
The Imperative of Professional Written Communication
In today’s interconnected professional landscape, the ability to communicate effectively in writing remains a cornerstone of success. Whether in business, academia, or personal contexts, well-crafted formal correspondence conveys competence, attention to detail, and respect for the recipient. It serves as an official record, often becoming a permanent part of an individual’s file or a company’s documentation. The clarity, precision, and tone embedded within such communications reflect directly on the sender and, by extension, on the subject of the correspondence.

Professional documentation, ranging from business letters and official notices to formal requests and comprehensive reports, is essential for maintaining transparent operations and fostering trust. It ensures that critical information is conveyed accurately and without ambiguity, minimizing misunderstandings and providing a reliable point of reference. Adhering to established standards for written communication, therefore, is not merely a formality but a strategic necessity that underpins effective collaboration and sound decision-making.
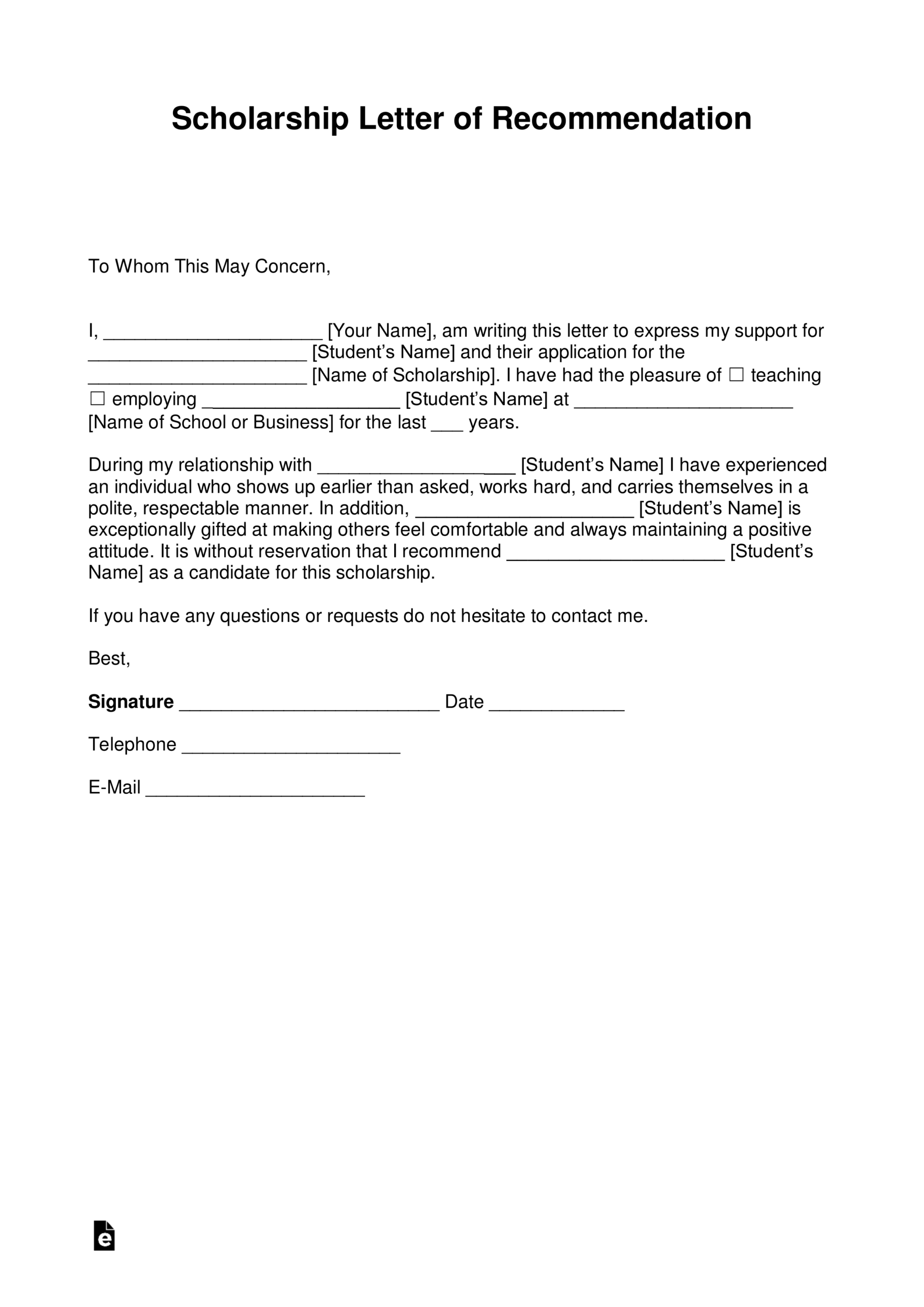
Strategic Advantages of a Structured Scholarship Recommendation Letter Template
The utilization of a structured scholarship recommendation letter template offers a multitude of strategic advantages for both the recommender and the applicant. Primarily, it ensures consistency in presentation and content, allowing recommenders to focus on the qualitative aspects of their endorsement rather than the foundational layout. This consistency projects professionalism, signaling to scholarship committees that the recommender values thoroughness and clear communication. Moreover, a template acts as a powerful time-saving tool, streamlining the drafting process by providing pre-defined sections for essential information.
Beyond efficiency, a well-designed scholarship recommendation letter template helps maintain clarity and organization within the document. It guides the writer to include all necessary components, such as the recommender’s relationship to the applicant, specific examples of the applicant’s achievements, and a clear endorsement. Such a framework reduces the likelihood of omitting crucial details and helps articulate a coherent, persuasive narrative. This systematic approach ultimately leads to more impactful letters that effectively champion the applicant’s strengths.
Adapting the Template for Diverse Communication Needs
While our focus here is specifically on the scholarship recommendation letter template, the principles underpinning its structure are broadly applicable to various forms of professional communication. The fundamental layout and organizational logic—header, clear salutation, structured body paragraphs, professional closing, and signature block—can be adapted for numerous purposes. This versatility makes any well-designed message template an invaluable asset in a professional’s toolkit, far beyond its initial specific application.
For instance, this robust document layout can be easily customized for employment-related correspondence, such as a cover letter accompanying a resume or a professional reference letter. In a business context, it can serve as the foundation for formal notifications, written requests, or official communications to clients and partners. The underlying structure provides a reliable framework, ensuring that even when the content changes, the message retains its professional integrity and clarity. Adopting such a versatile template standardizes an organization’s formal correspondence, fostering a unified and professional brand image across all written interactions.
Examples of When Using a Scholarship Recommendation Letter Template is Most Effective
Employing a standardized scholarship recommendation letter template proves most effective in a variety of specific scenarios, ensuring that critical support letters are consistently strong and comprehensive. These situations highlight the utility of having a pre-structured framework readily available.
- High-Volume Recommendation Requests: When educators or mentors are asked to provide numerous recommendations for students applying to various scholarships, the efficiency of a template becomes paramount. It allows for quick personalization while maintaining a high standard of quality.
- Time-Sensitive Deadlines: For recommenders working under tight schedules, the pre-formatted nature of the correspondence significantly reduces drafting time. This ensures that letters are submitted promptly without sacrificing essential content.
- Consistency Across Multiple Applications: If an applicant is applying for several scholarships, using a consistent template helps the recommender tailor specific details for each opportunity while ensuring core strengths are always highlighted in a professional format.
- Ensuring Comprehensive Detail: The layout prompts the recommender to include all necessary information, from the nature of their relationship with the applicant to specific examples illustrating the applicant’s skills, character, and achievements.
- Maintaining Professional Tone and Format: The template acts as a guide for upholding a formal, professional tone and standard business letter format, critical for conveying credibility and respect to scholarship committees.
- Training New Recommenders: For individuals new to writing scholarship recommendations, the template provides a clear roadmap, helping them understand what elements are crucial for an effective endorsement.
Best Practices for Formatting, Tone, and Usability
Crafting an effective scholarship recommendation letter extends beyond content; optimal formatting, appropriate tone, and usability are equally crucial for impact. The standard format for professional correspondence should be maintained, typically including a clear sender address, date, recipient address, a formal salutation, the body of the letter, a professional closing, and the recommender’s typed and handwritten signature. Utilizing a readable font (e.g., Times New Roman, Arial) in a standard size (10-12 point) is essential for clarity. Margins should be standard (1 inch) to ensure a clean, professional appearance.
The tone of the letter must be consistently formal, professional, and overwhelmingly positive. It should convey genuine enthusiasm for the applicant’s potential while remaining objective and fact-based. Avoid overly casual language or unsubstantiated praise. Instead, focus on specific examples and anecdotes that illustrate the applicant’s qualities, ensuring every claim is supported. Conciseness is also key; while providing detail, avoid unnecessary verbosity. Each paragraph should convey a distinct point, ideally within 2-4 sentences, maintaining focus and readability.
For usability, consider both print and digital versions of the document. If submitting digitally, convert the final file to a PDF to preserve formatting across different systems and prevent unauthorized edits. This professional communication also ensures that the letter maintains its intended appearance regardless of the recipient’s software. If a physical copy is required, printing on official letterhead, if available, adds an extra layer of professionalism and authenticity. Always proofread meticulously for any grammatical errors, typos, or formatting inconsistencies before final submission. A flawless official record reflects positively on both the recommender and the applicant.
In summary, effective professional communication, whether in the form of a formal notice or a detailed official record, demands meticulous attention to detail in every aspect. By adhering to these best practices, recommenders can ensure that their contribution to an applicant’s scholarship journey is as polished and persuasive as possible, leaving a lasting positive impression.
Ultimately, the strategic application of a well-structured document like the scholarship recommendation letter template transcends mere convenience; it elevates the quality and impact of vital personal endorsements. In an increasingly competitive academic landscape, every advantage counts, and a professionally crafted recommendation letter can significantly bolster an applicant’s profile. Such a template embodies efficiency, consistency, and clarity, ensuring that recommenders can consistently provide robust support for deserving individuals.
By embracing the principles outlined herein, recommenders are empowered to produce not just letters, but compelling narratives that effectively champion an applicant’s strengths and potential. This commitment to effective professional communication reinforces the critical role that thoughtful, well-organized correspondence plays in opening doors to future opportunities. It stands as a testament to the enduring value of a reliable, efficient message template in navigating crucial life milestones.


